收藏试卷 下载Word 导出试卷 打印试卷 试卷白板

与算术平方根有关的规律探索模型



单选题 (共 4 题 ),每题只有一个选项正确
如图所示为一个按某种规律排列的数阵:


根据数阵规律,第八行倒数第三个数是
$\text{A.}$ $\sqrt{72}$ $\text{B.}$ $\sqrt{71}$ $\text{C.}$ $\sqrt{70}$ $\text{D.}$ $\sqrt{69}$

若 $\sqrt{10609}=103, \sqrt{x}=1.03$ ,则 $x$ 的值是
$\text{A.}$ 1060.9 $\text{B.}$ 10.609 $\text{C.}$ 106.09 $\text{D.}$ 1.0609

已知 $\sqrt{0.1156}=0.34, \sqrt{11.56}=3.4$ ,则 $\sqrt{115600}=$
$\text{A.}$ 34 $\text{B.}$ 0.034 $\text{C.}$ 3400 $\text{D.}$ 340

观察下列式子:$\sqrt{1+\frac{1}{1^2}+\frac{1}{2^2}}=1 \frac{1}{2}, \sqrt{1+\frac{1}{2^2}+\frac{1}{3^2}}=1 \frac{1}{6}, \sqrt{1+\frac{1}{3^2}+\frac{1}{4^2}}=1 \frac{1}{12} \ldots$ ,按此规律 $\sqrt{1+\frac{1}{m^2}+\frac{1}{n^2}}=1 \frac{1}{90}$ ,则 $m^2+n^2$ 的值为
$\text{A.}$ 90 $\text{B.}$ 136 $\text{C.}$ 145 $\text{D.}$ 181

填空题 (共 4 题 ),请把答案直接填写在答题纸上
已知 $\sqrt{1}=1, \sqrt{1+3}=2, \sqrt{1+3+5}=3, \sqrt{1+3+5+7}=4, \ldots$ ,依上述规律, $\sqrt{1+3+5+7+...+2013+2015}=$ ;

已知 $\sqrt{m}=8.73, \sqrt{b}=87.3$ ,则 $b$ 是 $m$ 的 $\_\_\_\_$倍。

下列各个图形中,"$\bullet$"的个数用 $a$ 表示,"$\circ$"的个数用 $b$ 表示,如 $n=1$ 时,$a=4, b=1$ ; $n=2$ 时,$a=9, b=4 ; \ldots \ldots$ 根据图形的变化规律,当 $n=2023$ 时,$\sqrt{a}+\sqrt{b}$ 的值为

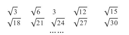
将一组数 $\sqrt{3}, \sqrt{6}, 3, \sqrt{12}, \sqrt{15}, \ldots \sqrt{90}$ 按如图所示的方法进行排列,若 $\sqrt{12}$ 的位置记为 $(1,4), \sqrt{24}$ 的位置记为 $(2,3)$ ,则这组数中最大的有理数的位置记为

解答题 (共 1 题 ),解答过程应写出必要的文字说明、证明过程或演算步骤
阅读下列解题过程:

$$
\sqrt{1-\frac{3}{4}}=\sqrt{\frac{1}{4}}=\sqrt{\left(\frac{1}{2}\right)^2}=\frac{1}{2} ; \sqrt{1-\frac{5}{9}}=\sqrt{\frac{4}{9}}=\sqrt{\left(\frac{2}{3}\right)^2}=\frac{2}{3} ; \sqrt{1-\frac{7}{16}}=\sqrt{\frac{9}{16}}=\sqrt{\left(\frac{3}{4}\right)^2}=\frac{3}{4} ; \cdots \cdots
$$

(1)计算:$\sqrt{1-\frac{17}{81}}=$
(2)按照你所发现的规律,猜想:$\sqrt{1-\frac{2 n+1}{(n+1)^2}}=-$( $n$ 为正整数);
(3)计算:$\sqrt{1-\frac{3}{4}} \times \sqrt{1-\frac{5}{9}} \times \sqrt{1-\frac{7}{16}} \times \mathrm{L} \times \sqrt{1-\frac{99}{2500}}$

非会员每天可以查看15道试题。 开通会员,海量试题无限制查看。

  • 无限看试题

  • 下载试题

  • 组卷
开通会员

热点推荐

试卷二维码

分享此二维码到群,让更多朋友参与

试卷白板

试卷白板提供了一个简单的触摸书写板,可供老师上课、或者视频直播时, 直接利用白板给学生讲解试题,如有意见,欢迎反馈。