收藏试卷 下载Word 导出试卷 打印试卷 试卷白板

决战高考物理-运动图像问题



单选题 (共 11 题 ),每题只有一个选项正确
如图所示为甲、乙两物体做直线运动的 $x-t$图像,对于 $0 \sim t_1$ 时间内两物体的运动,下列说法中正确的是

$\text{A.}$ 甲物体速度方向与加速度方向相同 $\text{B.}$ 乙物体加速度方向与速度方向相反 $\text{C.}$ 甲物体的平均速度大于乙物体的平均速度 $\text{D.}$ 乙物体位移变小,速度变大

如图为一质点做直线运动的 $v-t$ 图像,下列说法正确的是
$\text{A.}$ $B C$ 段表示质点通过的位移大小为 34 m $\text{B.}$ 在 $18 \sim 22 \mathrm{~s}$ 时间内,质点的位移为 24 m $\text{C.}$ 整个过程中,$B C$ 段的加速度最大 $\text{D.}$ 整个过程中,$E$ 点所表示的状态离出发点最远

一物体由静止开始,在粗糙的水平面内沿直线运动,其加速度 $a$ 随时间 $t$ 变化的 $a-t$ 图像如图所示。若选物体开始运动的方向为正方向,那么,下列说法中正确的是

$\text{A.}$ 在 $t=0 \sim 2 \mathrm{~s}$ 的时间内,物体先做匀速直线运动后做匀减速运动 $\text{B.}$ 在 $t=2 \mathrm{~s}$ 时物体的位移最大 $\text{C.}$ 在 $t=2 \mathrm{~s} \sim 3 \mathrm{~s}$ 的时间内,物体速度的变化量为 $-1 \mathrm{~m} / \mathrm{s}$ $\text{D.}$ 在 $t=0 \sim 4 \mathrm{~s}$ 的时间内,物体的位移为零

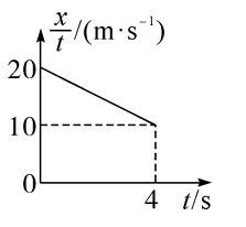
动力车在刹车过程中位移和时间的比值 $\frac{x}{t}$ 与 $t$ 之间的关系图像如图所示,则下列说法正确的是
$\text{A.}$ 动力车的初速度为 $20 \mathrm{~m} / \mathrm{s}$ $\text{B.}$ 刹车过程动力车的加速度大小为 $2.5 \mathrm{~m} / \mathrm{s}^2$ $\text{C.}$ 刹车过程持续的时间为 8 s $\text{D.}$ 4 s 内刹车位移为 60 m

如图所示是某物体做直线运动的 $v^2-x$(其中 $v$ 为速度,$x$ 为位置坐标),下列关于物体从 $x =0$ 动至 $x=x_0$ 过程分析正确的是

$\text{A.}$ 该物体做匀加速直线运动 $\text{B.}$ 该物体的加速度大小为 $\frac{v_0^2}{x_0}$ $\text{C.}$ 当该物体速度大小为 $\frac{1}{2} v_0$ ,位移大小为 $\frac{3 x_0}{4}$ $\text{D.}$ 当该物体位移大小为 $\frac{1}{2} x_0$ ,速度大小为 $\frac{1}{2} v_0$

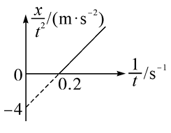
根据机动车的运动情况,绘制如图所示的 $\frac{x}{t^2} -\frac{1}{t}$ 图像,已知其在水平路面沿直线行驶,规定初速度 $v_0$ 的方向为正方向,运动过程中所受阻力恒定。以下说法正确的是

$\text{A.}$ 机动车匀加速运动 $\text{B.}$ 机动车的初速度为 0 $\text{C.}$ 机动车的加速度为 $8 \mathrm{~m} / \mathrm{s}^2$ $\text{D.}$ 机动车在前 3 秒内的位移是 25 m

一质点做直线运动的 $v-t$ 关系图像如图所示,则该质点的 $x-t$ 关系图像可大致表示为选项图中的
$\text{A.}$ $\text{B.}$ $\text{C.}$ $\text{D.}$

一物体由静止开始沿直线运动,其加速度随时间变化的规律如图所示,取物体开始运动的方向为正方向,则下列关于物体运动的 $v-t$ 图像正确的是
$\text{A.}$ $\text{B.}$ $\text{C.}$ $\text{D.}$

在如图所示的某物体做直线运动的"$a-t$"图像中,引入"加速度的变化率"描述加速度变化的快慢。下述正确的是

$\text{A.}$ 2 s 内物体的速度越来越小 $\text{B.}$ $t=1 \mathrm{~s}$ 时,"加速度的变化率"为 $2 \mathrm{~m} / \mathrm{s}^2$ $\text{C.}$ 2 s 内物体的速度改变量为 $4 \mathrm{~m} / \mathrm{s}$ $\text{D.}$ 2 s 时加速度为 0 ,物体的速度也定为 0

甲、乙两物体分别在水平面上做直线运动,取向右为正方向,它们运动的相关图像分别如图甲、乙所示。已知乙的初速度为 0 ,下列说法正确的是


$\text{A.}$ 甲物体 2 s 时的运动方向发生变化 $\text{B.}$ 乙物体 2 s 时的运动方向发生变化 $\text{C.}$ 甲物体 $0 \sim 2 \mathrm{~s}$ 内的平均速度与 $2 \mathrm{~s} \sim 4 \mathrm{~s}$内的平均速度相同 $\text{D.}$ 乙物体 4 s 时的位置与 0 时刻的位置相同

某同学欲估算飞机着陆时的速度,他假设飞机在平直跑道上做匀减速运动,飞机在跑道上滑行的距离为 $s$ ,从着陆到停下来所用的时间为 $t$ ,实际上,飞机的速度越大,所受的阻力越大,则飞机着陆时的速度应是
$\text{A.}$ $v=\frac{s}{t}$ $\text{B.}$ $v=\frac{2 s}{t}$ $\text{C.}$ $v>\frac{2 s}{t}$ $\text{D.}$ $\frac{s}{t} < v < \frac{2 s}{t}$

多选题 (共 2 题 ),每题有多个选项正确
甲、乙两车在同一平直公路上同向运动,甲做匀加速直线运动,乙做匀速直线运动。甲、乙两车的位置 $x$ 随时间 $t$ 的变化如图所示。下列说法正确的是
$\text{A.}$ 在 $t_1$ 时刻两车速度相等 $\text{B.}$ 从 0 到 $t_1$ 时间内,两车走过的路程相等 $\text{C.}$ 从 $t_1$ 到 $t_2$ 时间内,两车走过的路程相等 $\text{D.}$ 在 $t_1$ 到 $t_2$ 时间内的某时刻,两车速度相等

雨雪天气时路面湿滑,汽车在紧急刹车时的刹车距离会明显增加。如图所示为驾驶员驾驶同一辆汽车在两种路面紧急刹车时的 $v-t$ 图像,驾驶员的反应时间为 1 s 。下列说法正确的是
$\text{A.}$ 从 $t=0$ 到停下,汽车在湿滑路面的平均速度大于在干燥路面的平均速度 $\text{B.}$ 从 $t=1 \mathrm{~s}$ 到停下,汽车在湿滑路面的平均速度大于在干燥路面的平均速度 $\text{C.}$ 从 $t=0$ 到停下,汽车在湿滑路面的行驶距离比在干燥路面的行驶距离多 15 m $\text{D.}$ 从 $t=1 \mathrm{~s}$ 到停下,汽车在湿滑路面的加速度是在干燥路面的加速度的 0.75 倍

解答题 (共 1 题 ),解答过程应写出必要的文字说明、证明过程或演算步骤
一静止在光滑水平面的物体从 $t=0$ 时刻加速度与时间关系如图所示,$a$ 随 $t$ 做周期性变化,求 $t=0$ 到 $t=32 \mathrm{~s}$ 内物体的位移大小。

非会员每天可以查看15道试题。 开通会员,海量试题无限制查看。

  • 无限看试题

  • 下载试题

  • 组卷
开通会员

热点推荐

试卷二维码

分享此二维码到群,让更多朋友参与

试卷白板

试卷白板提供了一个简单的触摸书写板,可供老师上课、或者视频直播时, 直接利用白板给学生讲解试题,如有意见,欢迎反馈。

相关试卷