科数网
试题 ID 6278
【所属试卷】
2023《线性代数》方阵n次方计算方法总结与典型例题求解
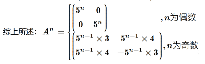
设 $A=\left(\begin{array}{cc}3 & 4 \\ 4 & -3\end{array}\right)$ ,求 $A^n$.
A
B
C
D
E
F
答案:
答案与解析仅限VIP可见
解析:
答案与解析仅限VIP可见
设 $A=\left(\begin{array}{cc}3 & 4 \\ 4 & -3\end{array}\right)$ ,求 $A^n$.
答案
答案与解析仅限VIP可见
解析
答案与解析仅限VIP可见