收藏试卷 下载Word 导出试卷 打印试卷 试卷白板

一元线性回归模型及其应用



单选题 (共 2 题 ),每题只有一个选项正确
乡村振兴战略坚持农业农村优先发展,目标是按照产业兴旺、生态宜居、乡风文明、治理有效、生活富裕的总要求,建立健全城乡融合发展体制机制和政策体系,加快推进农业农村现代化.某乡镇通过建立帮扶政策,使得该乡镇财政收入连年持续增长,具体数据如表所示:
由上表可得 $y$ 关于 $x$ 的近似回归方程为 $\hat{y}=3 x+a$ ,则第 6 年该乡镇财政收入预计为
$\text{A.}$ 16 亿元 $\text{B.}$ 19 亿元 $\text{C.}$ 21 亿元 $\text{D.}$ 23 亿元

$5 G$ 技术在我国已经进入高速发展的阶段, $5 G$ 手机的销量也逐渐上升,某手机商城统计了最近 5 个月手机的实际销量,如下表所示:
若 $y$ 与 $x$ 线性相关,且线性回归方程为 $\hat{y}=0.24 x+\hat{a}$ ,则下列说法不正确的是
$\text{A.}$ 由题中数据可知,变量 $y$ 与 $x$ 正相关 $\text{B.}$ 线性回归方程 $\hat{y}=0.24 x+\hat{a}$ 中 $\hat{a}=0.28$ $\text{C.}$ 可以预测 $x=6$ 时该商场 $5 G$ 手机销量约为 1.72 (千只) $\text{D.}$ $x=5$ 时,残差为 -0.02

多选题 (共 1 题 ),每题有多个选项正确
蟋蟀鸣叫可以说是大自然优美、和谐的音乐,殊不知蟋蟀鸣叫的频率 $x$(每分钟鸣叫的次数)与气温 $y$(单位:${ }^{\circ} \mathrm{C)}$ 存在着较强的线性相关关系.某地观测人员根据下表的观测数据,建立了 $y$ 关于 $x$ 的经验回归方程 $\hat{y}=0.25 x+k$ ,则下列说法正确的是( )

$\text{A.}$ $k$ 的值是 20 $\text{B.}$ 变量 $x, y$ 呈正相关关系 $\text{C.}$ 若 $x$ 的值增加 1 ,则 $y$ 的值约增加 0.25 $\text{D.}$ 当蟋蟀 52 次/分鸣叫时,该地当时的气温预测值为 $33.5^{\circ} \mathrm{C}$

解答题 (共 3 题 ),解答过程应写出必要的文字说明、证明过程或演算步骤
已知某种汽车新购入价格为 14 万元,但随着使用年限增加汽车会贬值.通过调查发现使用年限 $x$(单位:年)与出售价 $y$(单位:万元)之间的关系有如下一组数据:
(1)求 $y$ 关于 $x$ 的回归方程;
(2)已知 $R^2=1-\frac{\sum_{i=1}^n\left(y_i-\widehat{y}_{\imath}\right)^2}{\sum_{i=1}^n\left(y_i-\bar{y}\right)^2}$ ,当 $R^2 \geq 0.9$ 时,回归方程的拟合效果非常好;当 $0.8 < R^2 < 0.9$ 时,回归方程的拟合效果良好.试问该线性回归方程的拟合效果是非常好还是良好?说明你的理由.


下图是我国2014年至2020年生活垃圾无害化处理量(单位:亿吨)的折线图.

注:年份代码1-7分别对应年份2014-2020(2021年后代码依次类推).
(1)由折线图看出,可用线性回归模型拟合y与t的关系,请用相关系数加以说明;
(2)建立y关于t的回归方程(系数精确到0.01),预测2023年我国生活垃圾无害化处理量.


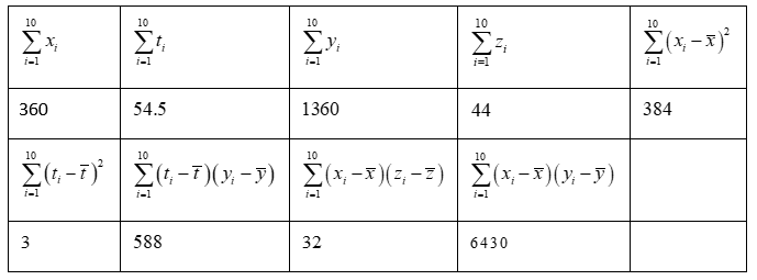
经观测,长江中某鱼类的产卵数 $y$ 与温度 $x$ 有关,现将收集到的温度 $x_i$ 和产卵数 $y_i(i=1,2, \cdots, 10)$ 的 10 组观测数据作了初步处理,得到如图的散点图及一些统计量表.



表中 $t_i=\sqrt{x_i}, z_i=\ln y_i, \bar{z}=\frac{1}{10} \sum_{i=1}^{10} z_i$



(1)根据散点图判断,$y=a+b x, y=n+m \sqrt{x}$ 与 $y=c_1 \mathrm{e}^{c_2 x}$ 哪一个适宜作为 $y$ 与 $x$ 之间的回归方程模型并求出 $y$关于 $x$ 回归方程;(给出判断即可,不必说明理由)
(2)某兴趣小组抽取两批鱼卵,已知第一批中共有 6 个鱼卵,其中"死卵"有 2 个;第二批中共有 8 个鱼卵,其中"死卵"有 3 个。现随机挑选一批,然后从该批次中随机取出 2 个鱼卵,求取出"死卵"个数的分布列及数学期望。

附:对于一组数据 $\left(u_1, v_1\right),\left(u_2, v_2\right), \mathrm{L}\left(u_n, v_n\right)$ ,其回归直线 $v=\alpha+\beta u$ 的斜率和截距的最小二乘估计分别为

$$
\beta=\frac{\sum_{i=1}^n\left(u_i-\bar{u}\right)\left(v_i-\bar{v}\right)}{\sum_{i=1}^n\left(u_i-\bar{u}\right)^2}, \alpha=\bar{v}-\beta \bar{u} .
$$

非会员每天可以查看15道试题。 开通会员,海量试题无限制查看。

  • 无限看试题

  • 下载试题

  • 组卷
开通会员

热点推荐

试卷二维码

分享此二维码到群,让更多朋友参与

试卷白板

试卷白板提供了一个简单的触摸书写板,可供老师上课、或者视频直播时, 直接利用白板给学生讲解试题,如有意见,欢迎反馈。